Impact of Protective Mask Position on Inspired Gas Concentration During Oxygen Supplementation: A Study in Healthy Volunteers
by Zeibak H1, Ghantus J1, Tome J2, Hidari T3, Lehavi A4, Tome R1*
1Anesthesia Department - The Nazareth Hospital E.M.M.S, Israel.
2Department of general surgery Tel Aviv Medical Center (Ichlov), Israel.
3Operating room nurse chief - The Nazareth Hospital E.M.M.S, Israel.
4Anesthesia Department The Rambam Medical Center Haifa, Israel.
*Corresponding author: Tome R, Anesthesia Department The Nazareth Hospital E.M.M.S, Israel.
Received Date: 22 January, 2024
Accepted Date: 25 January, 2024
Published Date: 29 January, 2024
Citation: Haitam Z, Jiryis G, Jawad T, Tamer H, Amit L, et al. (2024) Impact of Protective Mask Position on Inspired Gas Concentration during Oxygen Supplementation: A Study in Healthy Volunteers. Rep GlobHealth Res 7: 183. https://doi.org/10.29011/2690-9480.100183.
Abstract
Purpose of Study
Patients with respiratory diseases are often required to wear protective masks to minimize the risk of spreading infections. However, when these patients necessitate oxygen enrichment, the impact of wearing both a protective mask and an oxygen mask on the concentration of inhaled oxygen and carbon dioxide remains unclear.
This study was conducted with the aim of comparing the inhaled concentrations of oxygen and carbon dioxide in five different scenarios, utilizing both an enrichment mask and a protective mask.
- Breathing with a protective mask adjusted to the face using room air.
- Wearing an enrichment mask adjusted to the face, delivering oxygen at a rate of 6 liters per minute.
- Wearing an enrichment mask adjusted to the face, delivering oxygen at a rate of 6 liters per minute, covered with a standard protective mask.
- Wearing an enrichment mask adjusted to the face, delivering oxygen at a rate of 6 liters per minute, with a standard protective mask underneath.
- Wearing an enrichment mask adjusted to the face, delivering oxygen at a rate of 6 liters per minute, with an N95 protective mask underneath.
Methods
The study involved 30 healthy volunteers, each wearing protective masks and oxygen masks in various configurations while receiving oxygen at a rate of 6 liters per minute. Gas concentration measurements were conducted continuously for 5 minutes during each of the five stages, with participants positioned on their backs on a hospital bed. There were 60-second measurement gaps between stages to facilitate the adjustment of experimental configurations. Gas concentrations of inhaled and exhaled air were recorded during each 5-minute stage using continuous monitoring facilitated by a MINDRAY-type monitor. This monitor was connected to an oxygen nasal cannula for precise measurement of gas concentrations.
Results
When administering oxygen at a rate of 6 liters per minute, the highest percentage of inhaled oxygen (52%) is achieved when the oxygen mask is directly applied to the patient’s face, with a regular protective mask overlaid. This concentration surpasses the inhaled oxygen percentage obtained solely with an oxygen mask (49%) (t=4.04, p<0.001).
Wearing a standard protective mask underneath the oxygen mask results in a reduced percentage of inhaled oxygen to 40%. Furthermore, wearing an N95 mask underneath the oxygen mask leads to a further decrease in the percentage of inhaled oxygen to 33%.
No significant difference was observed in the concentration of inhaled or exhaled carbon dioxide across the various configurations.
Conclusions
The method of wearing both the protective mask and the oxygen mask, along with the type of protective mask utilized, demonstrates a distinct and clinically significant impact on the concentration of inhaled oxygen during the administration of oxygen enrichment.
The treatment of patients necessitating oxygen enrichment and protection against droplet infection should consider these observed effects to ensure adequate oxygen enrichment.
Introduction
Patients with respiratory diseases can pose a risk of droplet infection to medical staff and fellow patients. Adhering to guidelines such as those set forth by the World Health Organization [1] and the regulations in numerous countries is essential, mandating the wearing of masks covering the mouth and nose in public areas and enclosed spaces, thereby mitigating the risk of transmission.
Patients grappling with respiratory conditions and those in the recovery phase from anesthesia may necessitate supplementary oxygen delivered through a Hudson mask affixed to the face.
The challenge is determining the optimal sequence for patients requiring both additional oxygen through an enrichment mask and protection with a mask covering the mouth and nose. Should the protective mask be placed first, maximizing coverage and infection protection, with the enrichment mask layered on top? Alternatively, is it more effective to apply the enrichment mask directly to the patient’s face for optimal oxygen enrichment, with the protective mask worn over it?
Currently, there is a notable absence of information in the medical literature pertaining to the impact of a protective mask on the concentrations of inhaled and exhaled oxygen and carbon dioxide during breathing when using an enrichment mask, both with and without the additional layer of a protective mask.
Access to accurate information holds the potential to enable informed utilization of protective masks, ensuring optimal protection for healthcare staff while simultaneously delivering optimal care for patients.
Objectives
This study aims to compare the concentrations of inhaled and exhaled oxygen and carbon dioxide in five different scenarios involving the use of an enrichment mask and a protective mask.
- Oxygen mask only
- Protective mask only
- A protective mask placed over an oxygen mask
- An oxygen mask placed over a protective mask
- An oxygen mask mounted on an N95 protective mask
The study was conducted in the Anesthesia Department at the English Hospital in Nazareth under the supervision of a specialist anesthesiologist.
Following approval from the Institutional Ethics Committee and after providing a comprehensive explanation and obtaining signed informed consent forms, 30 healthy volunteers were directed to lie supine on a horizontal mattress and breathe normally. Throughout the study, the following configurations were applied to the subjects’ faces for a duration of 5 minutes.
- Room air PM - Protective mask (DISPOSABLE MEDICAL MASK-Tcare3ply-VOLA PRODUCTS, production: PRC) in breathing room air.
- OM - The enrichment mask (HI OXYGEN MASK WITH 2M TUBE - WKM-1110, manufacturer: Weikang, China) is fitted to the face while enriching oxygen at a rate of 6 liters per minute.
- OM - The enrichment mask (HI OXYGEN MASK WITH 2M TUBE - WKM-1110, manufacturer: Weikang, China) is fitted to the face while enriching oxygen at a rate of 6 liters per minute.
- OM under PM - The enrichment mask is fitted to the face, delivering oxygen at a rate of 6 liters per minute, and on top of it, a standard protective mask is placed.
- OM under PM - The enrichment mask is fitted to the face, delivering oxygen at a rate of 6 liters per minute, and on top of it is a standard protective mask.
- OM over PM - The enrichment mask is fitted to the face, delivering oxygen at a rate of 6 liters per minute, and underneath it is a standard protective mask.
- OM over N95 - An enrichment mask is fitted to the face, delivering oxygen at a rate of 6 liters per minute, and underneath it is a protective mask of the N95 type (GB26262006-AA, Manufacturer: Xiantao Xianghua Industry & Trade Co., LTD.).
Conducting the Measurements
Gas concentration measurements in the inhaled and exhaled air were conducted using continuous monitoring on a BENEVISION N17 MINDRAY type monitor. The gas analysis module of the monitor was connected to an oxygen nasal cannula specifically designed for measurement (NASAL OXYGEN CANNULA-KY-OT-1152, manufacturer: MADEWELL, China).
The measurements were conducted continuously, with 60-second intervals between each stage to allow for adjustments in the experimental configuration.
Inclusion Criteria
- Ages 18-65
- BMI 18-25
- Height between 160 and 185 cm
- ASA I-II
Exclusion Criteria
-
History of heart disease.
-
History of lung disease.
-
Underwent surgery within the last week.
- Facial deformities.
Medical Care
The study did not involve medical treatment or diagnosis. The total exposure to high-concentration oxygen for each subject did not exceed 20 minutes, and the concentration remained below 60%. All participants reported feeling well after completing the study.
Statistical Analysis
The statistical analysis included the examination of demographic data using mean and standard deviation. Independence was assessed through a one-way analysis of variance (ANOVA) test, followed by a post hoc LSD follow-up test. A significance level of less than 0.05 was defined as statistically significant.
Results
In the study, 24 men and 6 women participated. The demographic data of the study participants are presented in Table 1 below:
|
n |
% |
||
|
M / F |
Female |
6 |
20.00% |
|
Male |
24 |
80.00% |
|
|
ASA |
I |
26 |
86.70% |
|
II |
4 |
13.30% |
|
|
range |
Mean |
±SD |
|
|
Age (years) |
20-60 |
32.97 |
9.47 |
|
Height (cm) |
160-185 |
174.13 |
7.14 |
|
Weight (Kg) |
50-84 |
69.83 |
9.06 |
|
BMI (Kg/m^2) |
18.6-24.9 |
22.79 |
1.74 |
Table 1: Data of the Study Participants.
Concentration of Inhaled Gases
The concentrations of inhaled gases in various configurations are presented in Table 2:
|
room air+PM |
OM |
OM under PM |
OM over PM |
OM over N95 |
p.value |
|||||||||
|
Mean |
SD |
Mean |
SD |
Mean |
SD |
Mean |
SD |
Mean |
SD |
|||||
|
O2 |
20.06a |
0.36 |
48.52b |
11.2 |
52.31b |
14.72 |
39.78c |
8.52 |
32.94d |
5.78 |
<0.001 |
|||
|
CO2 |
5.05a |
2.07 |
4.05b |
2.03 |
4.16b |
1.58 |
4.39b |
1.49 |
4.23b |
1.54 |
0.202 |
|||
Table 2: Oxygen and Carbon Dioxide Concentrations during Inhalation in Various Configurations.
Concentration of Inhaled Oxygen
In a one-way analysis of variance test, a significant difference was identified in the average oxygen concentrations across the five conditions (F(4,145)=55.49, p<.001, η²=0.605). This indicates that 60.5% of the variation in concentration averages can be attributed to the different situations and types of masks. The maximum observed concentration was in the state (OM under PM), with an oxygen mask on top of a standard protective mask (M=52.31, SD=14.72), while the minimum concentration was noted in the state (room air+PM) with a protective mask (M=20.06, SD=0.36) (refer to graph 1).

Graph 1: Inhaled Oxygen Concentrations in Various Configurations
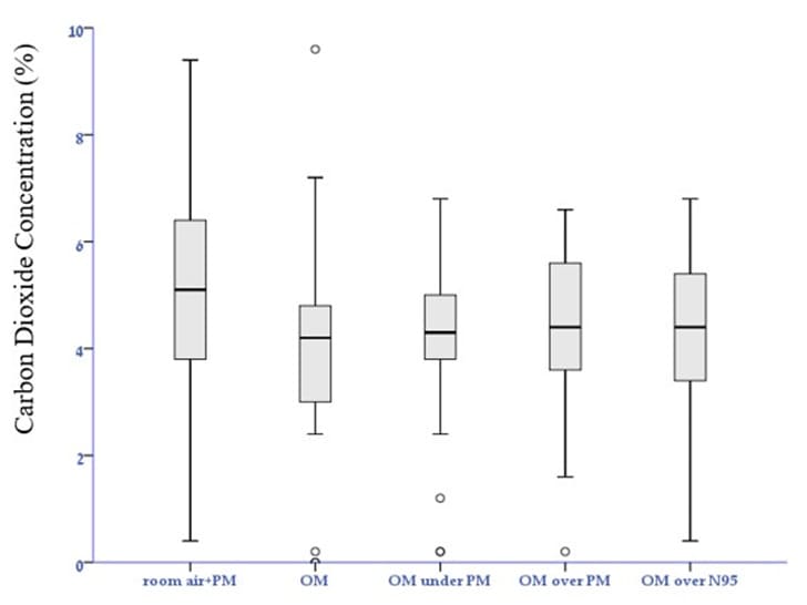
Concentration of Inhaled Carbon Dioxide
In a one-way analysis of variance test, it was determined that there is no significant difference in the average carbon dioxide concentration across the five conditions (F(4,145)=1.511, p>.05, η²=0.04). Consequently, only 4% of the variation in concentration averages can be attributed to the different situations and types of masks. The maximum observed concentration was in the (room air+PM) protective mask condition (M=5.05, SD=2.07), while the minimum concentration was recorded in the (OM) oxygen mask condition (M=4.05, SD=2.03), with minimal differences between the various situations. Additionally, an LSD post hoc follow-up test indicated a statistical difference between the protective mask condition and all other conditions, with no statistical difference observed among the remaining situations and types of masks (see graph 2).

Graph 2: Inhaled Carbon Dioxide Concentrations
Concentration of Inhaled Gases
The concentration of inhaled gases in various configurations is presented in Table 3:
|
room air+PM |
OM |
OM under PM |
OM over PM |
OM over N95 |
p.value |
||||||
|
Mean |
SD |
Mean |
SD |
Mean |
SD |
Mean |
SD |
Mean |
SD |
||
|
O2 |
14.85a |
0.7 |
49.09b |
6.98 |
54.77c |
7.82 |
41.83d |
6.13 |
30.41e |
6.74 |
<0.001 |
|
CO2 |
40.17a |
3.57 |
39.05a |
3.87 |
38.81a |
3.64 |
39.19a |
3.99 |
39.22a |
3.77 |
<0.001 |
Table 3: Concentration of Exhaled Gases in Various Configurations
Concentration of Exhaled Oxygen
In a one-way analysis of variance test, a significant difference was identified in the average oxygen concentrations across the five conditions (F(4,145)=196.12, p<.001, η²=0.844). This implies that 88.4% of the variation in concentration averages can be attributed to the different situations and types of masks. The maximum observed concentration was in the state (OM under PM), with an oxygen mask on top of a standard protective mask (M=54.77, SD=7.82), while the minimum concentration was noted in the state (room air+PM) with a protective mask (M=14.85, SD=0.70). Furthermore, the LSD post hoc follow-up test indicated a statistical difference between all the situations and types of masks (See Graph 3).

Graph 3: Exhaled oxygen concentration
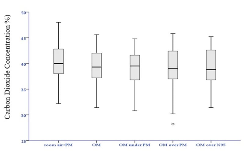
Concentration of Exhaled Carbon Dioxide
In a one-way analysis of variance test, it was determined that there is no significant difference in the average carbon dioxide concentration across the five conditions (F(4,145)=0.575, p>.05, η²=0.016). Consequently, only 1.6% of the variation in concentration averages can be attributed to the different situations and types of masks. The exhalation value remains nearly constant, with an average value around (M=40.0), and there is no statistical difference observed across all situations and types of masks. See graph 4 (below).

Graph 4: Exhaled Carbon Dioxide Concentration.
Comparing the Data in Relation to the Oxygen Mask Condition Oxygen Mask versus Protective Mask
The comparison between the two conditions was conducted using a t-test for dependent samples. The results of these comparisons are displayed in Table 4 (below).
|
Protective Mask |
Oxygen Mask |
|||||
|
Mean |
SD |
Mean |
SD |
t(df=29) |
p.value |
|
|
Inspired_O2 |
20.06 |
0.36 |
48.52 |
11.2 |
-14.04 |
0 |
|
Inspired_CO2 |
5.05 |
2.07 |
4.05 |
2.03 |
3.17 |
0.004 |
|
Expired_O2 |
14.85 |
0.7 |
49.09 |
6.98 |
-25.93 |
0 |
|
Expired_CO2 |
40.17 |
3.57 |
39.05 |
3.87 |
4.75 |
0 |
Table 4: Mean and standard deviation of oxygen and carbon dioxide concentration (in inhalation and exhalation conditions) - comparison of oxygen mask versus protective mask using the t-test for dependent samples.
Based on the findings presented in the table above, it is evident that there is a statistically significant difference in all parameters (both exhalation and inhalation) for both oxygen and carbon dioxide between the conditions of using an oxygen mask and a protective mask.

Graph 5: Comparison of Oxygen and Carbon Dioxide Concentration between an Oxygen Mask and a Protective Mask. Blue: protective mask. Red: oxygen mask.
Oxygen Mask Alone vs. Oxygen Mask with a Standard Protective Mask on Top
The comparison between the two conditions was conducted using a t-test for dependent samples. The results of these comparisons are presented in Table 5 (below).
|
Oxygen Mask Alone vs. Oxygen Mask with a Standard Protective Mask on Top |
Oxygen Mask |
|||||||
|
Mean |
SD |
Mean |
SD |
t(df=29) |
p.value |
|||
|
Inspired_O2 |
52.31 |
14.72 |
48.52 |
11.2 |
-2.372 |
0.025 |
||
|
Inspired_CO2 |
4.16 |
1.58 |
4.05 |
2.03 |
-0.369 |
0.715 |
||
|
Expired_O2 |
54.77 |
7.82 |
49.09 |
6.98 |
-6.369 |
0 |
||
|
Expired_CO2 |
38.81 |
3.64 |
39.05 |
3.87 |
1.278 |
0.211 |
||
Table 5: Mean and standard deviation of oxygen and carbon dioxide concentration (in inhalation and exhalation conditions) - comparison of an oxygen mask versus an oxygen mask with a standard protective mask on top using a t-test for dependent samples.
According to the findings presented in the table above, a statistically significant difference was observed in the concentration of oxygen during inhalation (t=-2.372, p=0.025). The concentration was higher with an oxygen mask and a standard protective mask (M=52.31, SD=14.72) compared to an oxygen mask alone (M=48.52, SD=11.20). No significant differences were found in the levels of carbon dioxide during both inhalation and exhalation across all parameters. However, a statistically significant difference was identified in the oxygen concentration during exhalation (t=-6.369, p<0.01), with higher oxygen concentration observed when using an oxygen mask with a standard protective mask on top (M=54.77, SD=7.82) compared to an oxygen mask alone (M=49.09, SD= 6.98). The findings are visually represented in the graph below.

Graph 6: Comparison of oxygen and carbon dioxide concentration between an oxygen mask and an oxygen mask with a standard protective mask on top. Blue: Oxygen Mask with a Standard Protective Mask on Top. Red: oxygen mask.
Comparison: Oxygen Mask Alone vs. Oxygen Mask with a Standard Protective Mask Underneath
The comparison between the two conditions was conducted using a t-test for dependent samples. The results of these comparisons are presented in Table 6 (below).
|
Oxygen Mask with a Standard Protective Mask Underneath |
Oxygen Mask |
|||||
|
Mean |
SD |
Mean |
SD |
t(df=29) |
p.value |
|
|
Inspired_O2 |
39.78 |
8.52 |
48.52 |
11.2 |
3.637 |
0.001 |
|
Inspired_CO2 |
4.39 |
1.49 |
4.05 |
2.03 |
-1.161 |
0.255 |
|
Expired_O2 |
41.83 |
6.13 |
49.09 |
6.98 |
6.712 |
0 |
|
Expired_CO2 |
39.19 |
3.99 |
39.05 |
3.87 |
-0.438 |
0.665 |
Table 6: Mean and standard deviation of oxygen and carbon dioxide concentration (in inhalation and exhalation conditions) - comparison of an oxygen mask versus an oxygen mask with a standard protective mask underneath using a t-test for dependent samples.
According to the findings presented in the table above, a statistically significant difference was observed in the concentration of oxygen during inhalation (t=3.637, p=0.001). The concentration was higher with an oxygen mask (M=48.52, SD=11.202) compared to an oxygen mask with a standard protective mask underneath (M=39.78, SD=8.52). No significant differences were found in the levels of carbon dioxide during both inhalation and exhalation across all parameters. However, a statistically significant difference was identified in the oxygen concentration during exhalation (t=6.712, p<0.01), with higher oxygen concentration observed when using an oxygen mask (M=49.09, SD=6.98) compared to an oxygen mask with a standard protective mask underneath (M=41.83, SD=6.13). The findings are visually represented in the graph below.

Graph 7: Comparison of oxygen and carbon dioxide concentration between an oxygen mask and an oxygen mask with a standard protective mask underneath. Blue: Oxygen Mask with a Standard Protective Mask Underneath. Red: oxygen mask.
Oxygen Mask Alone vs. Oxygen Mask with an N95 Protective Mask Underneath
The comparison between the two conditions was conducted using a t-test for dependent samples. The results of these comparisons are presented in Table 7 (below).
|
oxygen mask and an N95 protective mask underneath |
Oxygen Mask |
|||||
|
Mean |
SD |
Mean |
SD |
t(df=29) |
p.value |
|
|
Inspired_O2 |
32.94 |
5.78 |
48.52 |
11.2 |
6.513 |
0 |
|
Inspired_CO2 |
4.23 |
1.54 |
4.05 |
2.03 |
-0.753 |
0.457 |
|
Expired_O2 |
30.41 |
6.74 |
49.09 |
6.98 |
15.373 |
0 |
|
Expired_CO2 |
39.22 |
3.77 |
39.05 |
3.87 |
-0.739 |
0.466 |
Table 7: Mean and standard deviation of oxygen and carbon dioxide concentration (in inhalation and exhalation conditions) – comparison of an oxygen mask versus an oxygen mask and an N95 protective mask underneath using a t-test for dependent samples.
According to the findings presented in the table above, a statistically significant difference was observed in the concentration of oxygen during inhalation (t=6.513, p<0.001). The concentration was higher with an oxygen mask (M=48.52, SD=11.202) compared to an oxygen mask with an N95 protective mask underneath (M=32.94, SD=5.78). No significant differences were found in the levels of carbon dioxide during both inhalation and exhalation across all parameters. However, a statistically significant difference was identified in the oxygen concentration during exhalation (t=15.373, p<0.001), with higher oxygen concentration observed when using an oxygen mask (M=49.09, SD=6.98) compared to an oxygen mask with an N95 protective mask underneath (M=30.41, SD=6.74). The findings are visually represented in the graph below.

Graph 8: Comparison of oxygen and carbon dioxide concentration between an oxygen mask and an oxygen mask with an N95 protective mask underneath. Blue: Oxygen Mask with an N95 Protective Mask Underneath. Red: oxygen mask.
Oxygen Mask with a Standard Protective Mask Underneath vs. Oxygen Mask with a Standard Protective Mask On Top
The comparison between the two conditions was conducted using a t-test for dependent samples. The results of these comparisons are presented in Table 8 (below).
|
Oxygen Mask with a Standard Protective Mask On Top |
Oxygen Mask with a Standard Protective Mask Underneath |
|||||
|
Mean |
SD |
Mean |
SD |
t(df=29) |
p.value |
|
|
Inspired_O2 |
52.31 |
14.72 |
39.78 |
8.52 |
4.04 |
<.001 |
|
Inspired_CO2 |
4.16 |
1.58 |
4.39 |
1.49 |
-0.59 |
0.559 |
|
Expired_O2 |
54.77 |
7.82 |
41.83 |
6.13 |
7.13 |
<.001 |
|
Expired_CO2 |
38.81 |
3.64 |
39.19 |
3.99 |
-0.386 |
701 |
Table 8: Mean and standard deviation of oxygen and carbon dioxide concentration (in inhalation and exhalation conditions) - comparison of an oxygen mask with a standard protective mask underneath vs. an oxygen mask with a standard protective mask on top using a t-test for dependent samples.
According to the findings presented in the table above, a statistically significant difference was observed in the concentration of oxygen during inhalation (t=4.04, p<0.001). The concentration was higher with an oxygen mask and a normal protective mask on top (M=52.31, SD=14.72) compared to an oxygen mask with a standard protective mask underneath (M=39.78, SD=8.52). No significant differences were found in the levels of carbon dioxide during both inhalation and exhalation across all parameters. However, a statistically significant difference was identified in the oxygen concentration during exhalation (t=7.13, p<0.001), with higher oxygen concentration observed when using an oxygen mask with a standard protective mask on top (M=54.77, SD=7.82) compared to an oxygen mask with a standard protective mask underneath (M=41.83, SD=6.13). The findings are visually represented in the graph below.

Graph 9: Comparison of oxygen and carbon dioxide concentration between an oxygen mask with a standard protective mask underneath and an oxygen mask with a standard protective mask on top. Blue: Oxygen with a Standard Protective Mask on Top. Red: Oxygen Mask with a Standard Protection Mask Underneath.
Conclusions
The method of wearing protective masks and oxygen masks, as well as the type of protective mask, significantly affects the concentration of inhaled oxygen during oxygen enrichment administration.
When administering oxygen at a rate of 6 liters per minute, the highest percentage of inhaled oxygen (52%) is achieved by placing the oxygen mask directly on the patient’s face, with a normal protective mask on top. This concentration surpasses the oxygen concentration obtained using only an oxygen mask (49%) (t=4.04, p<0.001).
Wearing a standard protective mask under the oxygen mask reduces the percentage of inhaled oxygen to 40%, while wearing an N95 mask under the oxygen mask further decreases the percentage of inhaled oxygen to 33%.
No significant difference was observed in the concentration of inhaled or exhaled carbon dioxide among the different configurations.
Treatment protocols for patients requiring oxygen enrichment and protection against droplet infection should consider these effects to ensure adequate oxygen enrichment.
References
© by the Authors & Gavin Publishers. This is an Open Access Journal Article Published Under Attribution-Share Alike CC BY-SA: Creative Commons Attribution-Share Alike 4.0 International License. Read More About Open Access Policy.